Which Is A Sum Of Cubes A3 18 76+ Pages Explanation [1.4mb] - Updated 2021
21+ pages which is a sum of cubes a3 18 1.7mb. 1 on a question Which is a sum of cubes. A3 18 A6 9 A9 16 A12 8. X 4 x2 - 4x 16 x3 64 is the sum of 2 cubes. Read also answers and understand more manual guide in which is a sum of cubes a3 18 1 Show answers Another question on Mathematics.
Here 18 is not a perfect cube2. A3 18 B.

Sum Or Difference Of Cubes
| Title: Sum Or Difference Of Cubes |
| Format: PDF |
| Number of Pages: 309 pages Which Is A Sum Of Cubes A3 18 |
| Publication Date: January 2021 |
| File Size: 2.1mb |
| Read Sum Or Difference Of Cubes |
Here 9 is not a perfect cube3here 16 is not a perfect cube4here 8 is a perfect cube thus we can write above expression by using laws of exponents asThus is a sum of cubes.

Which is a sum of cubes. Which Are Perfect Cubes. 1 question Which is a sum of cubes. Correct answer - Which is a sum of cubes. The difference of 2 numbers is 21 and the quotient of the equation is 4 then what are the two numbers. 2 Since 9 is not a perfect cube.

Which Is A Sum Of Cubes A3 18 A6 9 A9 16 A12 8a3 18a6 9a9 16a12 8 Brainly
| Title: Which Is A Sum Of Cubes A3 18 A6 9 A9 16 A12 8a3 18a6 9a9 16a12 8 Brainly |
| Format: PDF |
| Number of Pages: 191 pages Which Is A Sum Of Cubes A3 18 |
| Publication Date: October 2018 |
| File Size: 725kb |
| Read Which Is A Sum Of Cubes A3 18 A6 9 A9 16 A12 8a3 18a6 9a9 16a12 8 Brainly |

Sum Or Difference Of Cubes
| Title: Sum Or Difference Of Cubes |
| Format: PDF |
| Number of Pages: 149 pages Which Is A Sum Of Cubes A3 18 |
| Publication Date: January 2017 |
| File Size: 1.2mb |
| Read Sum Or Difference Of Cubes |

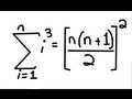
Sum Of The Cubes Of N Consecutive Integers Simple Proof
| Title: Sum Of The Cubes Of N Consecutive Integers Simple Proof |
| Format: eBook |
| Number of Pages: 346 pages Which Is A Sum Of Cubes A3 18 |
| Publication Date: December 2021 |
| File Size: 1.35mb |
| Read Sum Of The Cubes Of N Consecutive Integers Simple Proof |

Worksheet Year 7 Number Theory Exercise 1
| Title: Worksheet Year 7 Number Theory Exercise 1 |
| Format: ePub Book |
| Number of Pages: 304 pages Which Is A Sum Of Cubes A3 18 |
| Publication Date: January 2019 |
| File Size: 1.7mb |
| Read Worksheet Year 7 Number Theory Exercise 1 |

Sum Or Difference Of Cubes
| Title: Sum Or Difference Of Cubes |
| Format: PDF |
| Number of Pages: 277 pages Which Is A Sum Of Cubes A3 18 |
| Publication Date: October 2017 |
| File Size: 1.8mb |
| Read Sum Or Difference Of Cubes |

Sum Or Difference Of Cubes
| Title: Sum Or Difference Of Cubes |
| Format: eBook |
| Number of Pages: 268 pages Which Is A Sum Of Cubes A3 18 |
| Publication Date: March 2018 |
| File Size: 3.4mb |
| Read Sum Or Difference Of Cubes |

Sum Of Cubes Worksheet Jobs Ecityworks
| Title: Sum Of Cubes Worksheet Jobs Ecityworks |
| Format: PDF |
| Number of Pages: 234 pages Which Is A Sum Of Cubes A3 18 |
| Publication Date: December 2018 |
| File Size: 800kb |
| Read Sum Of Cubes Worksheet Jobs Ecityworks |

2 27 12 Special Factoring Sum Difference Of Two Cubes
| Title: 2 27 12 Special Factoring Sum Difference Of Two Cubes |
| Format: ePub Book |
| Number of Pages: 215 pages Which Is A Sum Of Cubes A3 18 |
| Publication Date: May 2020 |
| File Size: 1.5mb |
| Read 2 27 12 Special Factoring Sum Difference Of Two Cubes |

Factoring Sum Of Cubes Video Khan Academy
| Title: Factoring Sum Of Cubes Video Khan Academy |
| Format: PDF |
| Number of Pages: 336 pages Which Is A Sum Of Cubes A3 18 |
| Publication Date: December 2019 |
| File Size: 6mb |
| Read Factoring Sum Of Cubes Video Khan Academy |

Sum Or Difference Of Cubes
| Title: Sum Or Difference Of Cubes |
| Format: eBook |
| Number of Pages: 155 pages Which Is A Sum Of Cubes A3 18 |
| Publication Date: December 2018 |
| File Size: 5mb |
| Read Sum Or Difference Of Cubes |

Sum Or Difference Of Cubes
| Title: Sum Or Difference Of Cubes |
| Format: PDF |
| Number of Pages: 171 pages Which Is A Sum Of Cubes A3 18 |
| Publication Date: June 2018 |
| File Size: 3.4mb |
| Read Sum Or Difference Of Cubes |
Which Are Perfect Cubes. 64 Write An Equivalent Exponential Expression For Five Simplify The Expression 2P 42. So is not a sum of cubes.
Here is all you have to to learn about which is a sum of cubes a3 18 Check All That Apply. You decide instead to take the train there. O a3 18 a6 9 o a 16 O al2 8 Answers. Sum or difference of cubes sum or difference of cubes worksheet year 7 number theory exercise 1 factoring sum of cubes video khan academy sum of the cubes of n consecutive integers simple proof 2 27 12 special factoring sum difference of two cubes Which Are Perfect Cubes.


No comments:
Post a Comment